What follows is my rough financial analysis of the decision of whether to accept a college soccer scholarship or skip college and accept a hypothetical professional soccer development contract. Code and instructions to replicate my analysis can be loaded from a GitHub repository HERE.
First off, my authority to pontificate on this topic is the following: I played college soccer at Oregon State University (I did not have a ‘full ride’ but through my soccer scholarship and a small amount of other merit based aide I paid literally nothing for my education) then had a brief and totally unremarkable 3 year career in professional soccer which included contracts in the Major Indoor Soccer League, A-League (you can think of this like AAA baseball) and a few reserve contracts in the MLS. In addition to my career as a quant-monkey, I’m currently an assistant coach for the NCAA Division III (non-scholarship) men’s soccer program at the University of California at Santa Cruz. I have a USSF “B” license – and try to stay as active as possible in the USSF’s strategy regarding youth development. None of this makes my opinions gold….I just present it as an explanation for why an economist/data junkie would have a position on whether soccer in America would be better off if fewer promising players went to college.
Here’s what I want to rant about/analyze today: I’ve been involved in a lot of discussions -both formal and informal – lately with other soccer coaches about the state of soccer in the U.S. Two positions seem to come up over and over again:
CLAIM #1. college soccer doesn’t produce good, tactically aware soccer players. We will never be internationally competitive until we rethink college soccer….by the way, the big push in this area right now is going away from the NCAA’s traditional (~12 weeks in the fall) and non-traditional (~4 weeks in the spring) seasons and towards a year-round schedule with more games total but fewer games/week.
CLAIM #2. college soccer doesn’t produce good, tactically aware soccer players. We will never be internationally competitive until we stop sending players to college and adopt a more European style development system.
I have some pretty strong biases against CLAIM #2 that are based on my experiences as a professional player, a college coach, and a white collar quant-jockey. However, my most violent opposition to CLAIM #2 doesn’t come from the content of the argument as much as the arrogance of the people I usually hear making it. If you’re really convinced that our best soccer players shouldn’t be going to college, fine, but tell me how to reconcile the simple economics of it. Nobody I’ve argued this point with (and I’ve argued it with a lot of high profile coaches) has presented me a convincing answer.
Set-up/Background:
1. Many years ago the US Soccer Federation rethought their approach to youth development and endorsed a system called the Development Academy System. The best clubs in the county would be selected to have DA teams that would all be subject to a set of rules designed to shift the club soccer focus from winning games to developing talent – DA teams don’t play more than once a week, they play according to FIFA rules which, among other things, limits substitutions, and the coaches for DA teams were required to have the highest licensing granted by the USSF (the “A” license). Read more here.
This is relevant to my analysis because we currently have a professional style development structure for elite players between 12-18. The fact is that MLS teams rarely select players directly from this system. To me that means that what we must be talking about when think about a hypothetical system implied by CLAIM #2 above is some alternative to college that would better prepare 17-20 year old players to be professional soccer players. I don’t know what that alternative wold look like but my best guess is that it might be some hybrid of extending the current USSF DA system to players past the U18 age group and the existing 2nd professional division, USL Pro. In my analysis I’m calling this the “development contract.”
2. It is important to be clear about whom we are talking. I’m talking about the upper deciles but not the very top of USSF Development Academy Players…that is to say the top 20-30 percent of the best high school aged players in the county. This is important because the very top players in the youth system are already forgoing college for pro contracts (think Brek Shea, Omar Salgado, Andy Najar, Juan Agudelo, et al.). So since skipping college is already happening for the very best players, I interpret the argument in CLAIM #2 to mean people think that more players should pursue the no-college option. The kids I’m talking about are fielding scholarship offers from the best soccer programs in the country Cal, UCLA, Washington, Wisconsin, Duke, etc. but aren’t necessarily being pursued by foreign clubs or are likely to be taken in the MLS Super Draft (and yes I know very few college soccer players are on a “full ride” since since the NCAA max for men’s soccer is currently 9.9 and there are at least 18 on a team…but the best players are still getting deals that results in almost no out-of-pocket for school).
3. My analysis is basically a back-of-the-envelop comparison of accepting a scholarship to play soccer at U.C. Berkeley and skipping that offer to play in a hypothetical developmental system. The parameters of this hypothetical development system will be laid out below.
Parameters of the analysis
1. forgoing college for some kind of MLS development contract earns you a salary just below the current minimum MLS salary (currently ~36,000/year). Let’s call this starting salary $26,000/year. We can play around with this number but here’s my rational for starting at $26K: Nothing is currently stopping the MLS from drafting players directly out of high school/the DA system. The fact that MLS teams are not doing this means they are unwilling to pay the league minimum for the current crop of 18 year olds. If they aren’t willing to pay $36k for these kids to be pros now, why would we imagine a developmental system would pay them $36K to possibly develop into a pro in a few years.
2. For comparative purposes let’s assume the player either chooses 4 years of college (makes no annual salary) or chooses 4 years in the developmental scenario (where he earns $26k for each year).
3. In the 5th year the player either enters the MLS or enters the job market. If the player is drafted in the MLS we assume the player earns the median player salary each year (set to $91,000/year in the first year of earnings and we assume this salary grows by 10%/year…median MLS salary is based on this info). If the player went to college then his salary in the 5th year if he doesn’t make the MLS is set at the average starting salary of all U.C. Berkeley graduates ($60,400/year according to this website>). Also key here is that the mid-career earnings for Berkeley grads is purported to be ~$120,000 dollars which implies about an 8% rate of salary growth between the 1st and 10th years of employment – the 5th and 15th years in my simulations. And if the player did not go to college his salary in the 5th year is set to 62% of $60,400 based on analysis showing that labor force participants with only a high school diploma earn, on average, 62% of what college educated workers earn.
4. I impose an arbitrary $150,000 cap on annual salary for the college/no MLS path.
5. The time horizon of analysis is 14 years – four years in either college or the hypothetical developmental system and 10 years in the work force (either MLS or some non-MLS enterprise).
6. A final wrinkle I’m going to throw in. Instead of earning $0 in the first four years of the college path, I’m going to set the earnings to the cost of room and board at Cal ($14,000). Here’s my rational: I think it’s a stretch to compare $26k/year to $0 because, if the player accepts this developmental contract, he still needs to pay living expenses…in a sense the difference between $26k/year in the no college scenario and $14k/year in the college scenario represents “profit” over and above basic living expenses.
A First Cut
As a rough cut let’s compare the expected net present value of the possible outcomes assuming that in either scenario (college or no college) the player has a 50% chance of getting in the MLS in the 5th year.
Here are the possible paths
- If the player does not go to college and doesn’t get an MLS contract then he is on a path that includes a $26,000/year salary for the first 4 years and a 5th year salary of $37,448 = 0.62 * 60,400 with 8% salary growth for the next 9 years.
- If the player does not go to college but does get an MLS contract in year 5 then he earns the same $26k in the first four years then gets $91k in the 5th year with 10% growth in years 6-10.
- If the player goes to college but fails to make the MLS afterward he gets $14,000 in the first 4 years, $60,400 in the 5th year, with 8% salary growth thereafter.
- If the player goes to college and makes the MLS afterward gets $14,000 in years 1-4 and gets the earning from (b) in years 5-10.
the net present value of a stream of income (NPV) is where S(t) is salary in year t and
is the discount rate calculated as
where r is the rate of interest. We initialize this 0.95. The expected value of the college/no college paths are
EV(college)=0.5*NPV(c)+0.5*NPV(d)
EV(no college)=0.5*NPV(a)+0.5*NPV(b)
Results
The results of this most basic analysis are as follows:
Total Expected Net Present Value of going to college=$784,189
Total Expected Net Present Value of forgoing college=$723,505
Based on these parameters, the outcomes involving the MLS contract have the highest payout. The Berkeley/no MLS path has the next highest payout (for now call this the medium payout). And the no college/no MLS path has the lowest payout. In this portion of the analysis, if the player accepts the scholarship to Cal he gives up a few thousand dollars in the first four years (relative to accepting the developmental contract) but then has a 50% chance of being on the high income MLS income path coupled with a 50% change of getting the medium payout. If the player accepts the development contract he gets a few more dollars in the first 4 years but is subject to a 50% chance at the low income path.
Extension #1
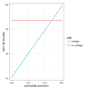
The most obvious extension of the basic analysis is to make the probabilities of getting an MLS contract in year 5 asymmetric. After all, the backbone of the call for players to forgo college seems to be that some other system could produce better players. It stands to reason then that our hypothetical alternative to college soccer should lead to a higher probability of getting an MLS contract. The question becomes, “how much higher does the probability of an MLS contract, conditional on no college, need to be in order to be financially equivalent (in expected value terms) to the college option? We will call this the probability premium.
Using my parameters the answer is about 11%. This hypothetical alternative to college would have to yield a probability of obtaining an MLS contract 11 percentage points higher than the college option in order to be financially sensible. Maybe 11 points doesn’t seem insurmountable but consider that over 90% of the players selected in the MLS Super Draft between 2007 and 2015 were college players, it seems the hypothetical alternative to college soccer has an uphill climb.
Extension #2
The second extension to my back-of-the-envelope analysis makes the following alterations to the basic model:
- We extend the period of analysis to 25 years
- We assume that rate of salary growth for individuals that did not attend college is 1.5 times lower than the rate of salary growth for individuals with a college degree. Specifically, we assume that college educated players in the non-MLS path continue to experience annual salary growth of 8%, while non college educated players in the non-MLS path experience salary growth of only 5%.
- We assume that the player’s MLS career is 10 years. After 10 years, the college and non college educated players return to their respective non-MLS work paths
Results
In the 25 year simulation with parameters as described above the probability premium at which the no college path exceeds the college path is 49%. This means that, assuming the probability of getting an MLS contract after attending Cal is 50%, you almost have to double this number to make the no college option financially competitive. At the risk of beating this to death, you have to virtually guarantee the high school player a successful, 10 year MLS career in order for the decision not to attend college to pay off.

Extension #3
Some who are inclined to favor the no college option will probably say that some of my assumptions are overly harsh on the no college path. I obviously disagree and think my parameters are a sensible reflection of reality but just for the sake of argument let’s try this:
- let the earnings growth in the 25 year simulation be the same for the college and no college non-MLS options (8%)
- let the year 16 earnings for the non college educated MLS player who is transitioning back to the work force be $100K/year.
Even in this case, which I think is extremely friendly to the non-college educated worker, you still need at least a 35 point probability premium to make the no college gamble payoff. In this case, that means the probability of MLS longevity for the no college option needs to be 85% versus just 50% for the college option.
Final words on assumptions
Some will invariably say that my analysis is biased in favor of college because I assume the player will only make the median MLS salary every year. This is true. A more thorough analysis would take into consideration the entire distribution of possible earnings under each scenario. However, it should be said that my analysis is limiting to the college path as well. The top soccer programs in the country (UCLA, Duke, UC Berkeley, etc.) are also some of the top institutions in the country. If we want to assume the MLS will be more lucrative, we could also easily assume the Berkeley path will be more lucrative. Berkeley grads go to business school, med school and do all sorts of things that boost their late career earnings above the arbitrary $150k/year cap that I’ve imposed on them.
Final words on the results
1. It’s not all about the money. I get that. I make more than the median MLS salary right now but if somebody offered me $50k/year to play in the MLS I’d take it. Don’t get me wrong I love solving math problems and writing code…but I like playing soccer a lot more. However, it’s important to point out that I’m not talking about whether any individual player should make a certain decision…I’m simply trying to take a quasi-empirical look at what kind of incentive structure might lead to young players abandoning college em mass.
2. The analysis is not definitive. There a lot of assumed values for salary growth a lot of different MLS success probabilities in the different scenarios that lead to a lot of different results. I guess that’s my main point. The people I often hear talking about how much U.S. soccer needs to abandon the model of college as a feeder to the pros talk about it like it’s self evident. They say things like the current system is “stupid.” But the current system isn’t stupid, it actually makes a ton of sense for players. If you get a Berkeley or UCLA or U. Washington education paid for then whether you make it in the MLS or not, you’re pretty set (on average and relatively speaking). Conversely, if you bypass college and end up with limited or no MLS success then you’re pretty hosed unless you make enough money on that developmental contract to not have to pay out of pocket to go back to school.
As I pointed out in the beginning, there is nothing stopping the MLS from signing high school seniors to lucrative contracts. They’re not doing this with any frequency so if we’re talking about college being a poor training ground for the pros, then the implied alternative system needs to address these college age kids. I don’t care if it’s an extension of the current DA system that goes up to U-18, or more of a USL pro minor league type option; any such non-college system is going to have to pay kids hundreds of thousands of dollars if it’s going to honestly compensate them for turning down a college scholarship. Who is going to pay those rates? The MLS? Doubtful – if they thought this was in their interest they’d be doing it already. Most teams can barely afford $1 million/year for recognizable foreign players from established leagues that are pretty much guaranteed to increase attendance…and you want to tell me they’re gonna pay $100,000/year to speculate on more 18 year olds? There are plenty of developmental players in USL Pro right now and they earn between $12,000-$40,000/year.
If the argument comes down to “this is what would be best for American Soccer and our ability to compete internationally” then maybe the Federation (USSF) should pay for this new hypothetical development league. If we accept my argument that you won’t see broad scale abandonment of college soccer until the players are compensated according to the opportunity cost of that decision, then I’d ballpark the cost of this hypothetical development league at about $10.8 million/year = 6 teams X $100,000 per player per year X 18 players per team.
3. Even from within the college coaching circles I hear this a fair amount, “We’ll never get the NCAA to change (meaning go to a more professional development oriented system) so if soccer is going to progress we need to scrap college soccer as the stepping stone to the pros.” Maybe that’s true, the NCAA is notoriously rigid…but does anybody honestly think it’s more likely that the US Soccer Federation is going to pony up $10.8 million/year to replace college soccer?
4. I’m running out of steam so I’m not going to work too hard to verify this claim but I’ll hang it out there in case anyone wants to pick up on it. A lot what I hear about reforming the way we develop future professional soccer players come in the form of a comparison to some other successful country (the Dutch, the English, the Spanish) with the implication that we’d be better off if we did it the way they do. And if your aunt had a dick she’d be your uncle.
Here’s what I don’t like about those claims: they ignore the fact that those aforementioned countries don’t have to deal with a wealth creating mechanism that exists on a comparable scale to the U.S. system of higher education (and before anyone tries to lecture me about student loan debt or some other shenanigans just remember it is a fact that the single act of getting a college degree makes you 3X more likely to be employed and virtually guarantees you a spot in the upper quartile of the income distribution by the time you’re 40).
I think it would be awesome if our DA Academy system pumped out more 14 and 15 years olds that got high dollar pro, or pro development contracts like the English or Dutch development systems. But for the 16,17, and 18 years olds, those countries aren’t contending with the alternative of a free pass to an education worth close to $1 million in net present value terms.
More to the point, I suspect the ratio of median professional soccer salary in say, the Barclay’s Premier League, and the median starting salary for a college educated Brits is far higher than the ration of median MLS salary to median starting salary for college educated American. I also suspect this mostly due to the fact that median salary in the BPL is astronomically higher than median MLS salary…but I also suspect that the college wage premium in the U.S. is higher than that in most other countries.
